1 din 5 | Barem Economie BAC 2023 Edu.ro. Cum trebuie rezolvate subiectele pentru a obține punctaj maxim?
2 din 5 | Barem Economie BAC 2023 Edu.ro. Cum trebuie rezolvate subiectele pentru a obține punctaj maxim?
3 din 5 | Barem Economie BAC 2023 Edu.ro. Cum trebuie rezolvate subiectele pentru a obține punctaj maxim?
4 din 5 | Barem Economie BAC 2023 Edu.ro. Cum trebuie rezolvate subiectele pentru a obține punctaj maxim?
5 din 5 | Barem Economie BAC 2023 Edu.ro. Cum trebuie rezolvate subiectele pentru a obține punctaj maxim?
Barem Economie BAC 2023 Edu.ro. Iată ce subiecte au picat la proba la alegere pe care au susținut-o elevii pe data de 28 iunie 2023! Cum trebuiau rezolvate subiectele?
UPDATE. Barem Economie BAC 2023 Edu.ro. Pe data de 28 iunie 2023, candidații de clasa a XII-a au susținut proba la alegere în cadrul examenului de Bacalaureat 2023. Iată cum trebuiau să fie rezolvate subiectele!
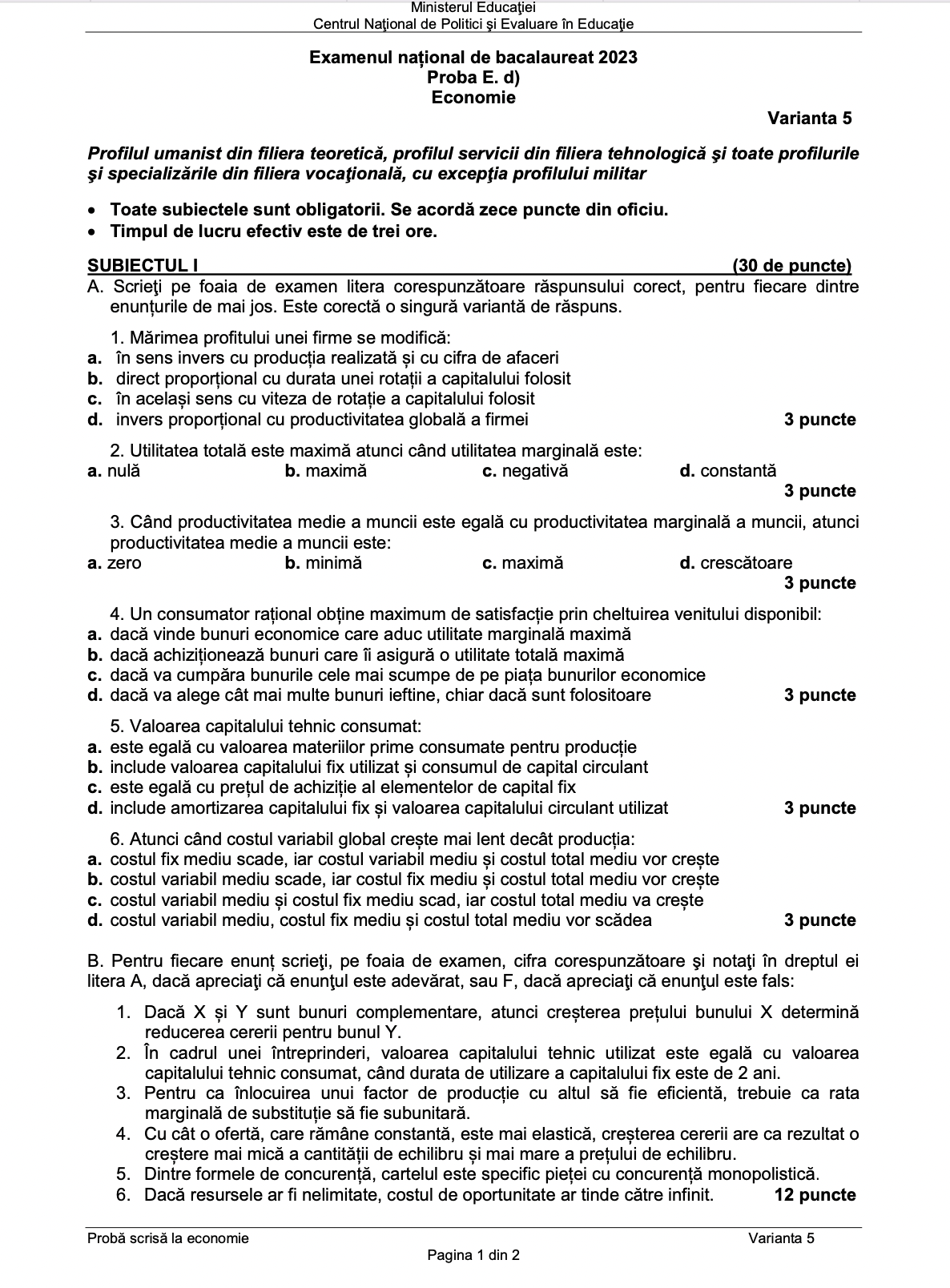
Ce subiecte au picat la proba de la Economie BAC 2023?
Acestea sunt subiectele primite de elevii de clasa a XII-a la proba la alegere.
Candidații au avut la dispoziție 3 ore pentru a rezolva subiectele primite. Probele au început la ora 09:00 și elevii au avut acces în baza unui act de identitate valabil, până la ora 08:30, potrivit regulamentului.
Subiectele pe care elevii le-au primit sunt elaborate în conformitate cu programa.
Pentru redactarea unei lucrări scrise/rezolvarea subiectelor sunt prevăzute trei (3) ore, calculate din momentul în care fiecare candidat din sală a primit foaia cu subiectele.
Baremul se va publica pe site-ul oficial al Ministerului Educației- subiecte.edu.ro/2023/bacalaureat/Subiecte_si_bareme.
Calendar Bacalaureat 2023
- 29 mai- 9 iunie 2023: Înscrierea candidaților la prima sesiune de examen
- 9 iunie 2023: Încheierea cursurilor pentru clasa a XII-a/a XIII-a
- 12- 14 iunie 2023: Evaluarea competențelor lingvistice de comunicare orală în limba română -proba A
- 14- 15 iunie 2023: Evaluarea competențelor lingvistice de comunicare orală în limba maternă -proba B
- 14- 16 iunie 2023: Evaluarea competențelor digitale- proba D
- 19- 21 iunie 2023: Evaluarea competențelor lingvistice într-o limbă de circulație internațională -proba C
- 26 iunie 2023: Limba și literatura română- proba E.a) – proba scrisă
- 27 iunie 2023: Proba obligatorie a profilului- proba E.c) -proba scrisă
- 28 iunie 2023: Proba la alegere a profilului și specializării- proba E.d)- proba scrisă
- 29 iunie 2023: Limba și literatura maternă- proba E.b)- proba scrisă
- 3 iulie 2023: Afișarea rezultatelor la probele scrise până la ora 12.00 și depunerea contestațiilor în intervalul orar 12.00
-18.00
- 4- 6 iulie 2023: Rezolvarea contestațiilor
- 7 iulie 2023: Afișarea rezultatelor finale
Citește și: BAC- a doua zi de foc
Este studentă în anul 3 la Facultatea de Jurnalism și Științele Comunicării, Universitatea din București. ”Pasiunea pentru jurnalism o am încă de mică, atunci când scriam în jurnale gânduri, idei și dorințe pe care le aveam. Pasiunea s-a menținut și peste ani, realizând că acest domeniu înseamnă multă cunoaștere. Diversitatea pe care o oferă jurnalismul mă face să mă regăsesc total, drept urmare am aplicat și pentru un job în domeniu”.
Îi place să descopăr mereu locuri noi și să cunoască oameni. Natura reprezintă pentru Alexandra locul în care se deconectează de fiecare data.
Cărțile de dezvoltare personală și psihologie au devenit o pasiune pentru ea: ”Părerea mea este că ne ajută în sfera autocunoașterii, cât și în relaționarea cu ceilalți”.
”Pe viitor sper să lucrez tot în presă și să ajung un jurnalist de success”.