1 din 11 | Subiecte Matematică Bac 2022: M1, M2, M3.
2 din 11 | Subiecte Matematică Bac 2022: mate-info.
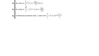
3 din 11 | Subiecte Matematică Bac 2022: mate-info.
4 din 11 | Subiecte Matematică Bac 2022: profil pedagogic.
5 din 11 | Subiecte Matematică Bac 2022: profil științe ale naturii
6 din 11 | Subiecte Matematică Bac 2022: profil științe ale naturii
7 din 11 | Subiecte Matematică Bac 2022: profil tehnologic.
8 din 11 | Subiecte Bacalaureat Matematică 2022.
9 din 11 | Subiecte Matematică BAC 2022 - M1, M2 şi M3 pentru elevii de clasa a 12-a
10 din 11 | Subiecte Matematică BAC 2022 - M1, M2 şi M3 pentru elevii de clasa a 12-a
11 din 11 | Subiecte Matematică BAC 2022 - M1, M2 şi M3 pentru elevii de clasa a 12-a
Subiecte Matematică BAC 2022. Pe 21 iunie, candidații din acest an de la Examenul Național de Bacalaureat, au susţinut proba obligatorie a profilului. Iată ce subiecte ar putea pica la Matematică- M1, M2 și M3!
Subiecte Matematică BAC 2022. Absolvenții claselor a XII-a și a XIII-a au susţinut marți, 21 iunie, proba obligatorie a profilului: matematică sau istorie, în funcție de profilul absolvit: real sau uman.
UPDATE. Subiectele la Matematică BAC 2022
Proba obligatorie a profilului va începe la ora 09:00.
Bacalaureat 2022 Matematică- subiecte M1, M2 și M3
Subiectele la matematică din cadrul examenului de Bacalaureat 2022 vor fi diferențiate pe filiere/profiluri (mate-info, științele naturii, tehnologic, pedagogic).
Astfel, elevii de la profilurile real, militar, tehnologic, pedagogic (educatoare-învățător) și științele naturii dau examen la matematică, iar cei de la uman și liceele vocaționale susțin proba la istorie.
Pe 21 iunie 2022 elevii claselor a XII-a și a XIII-a vor susține proba obligatorie a profilului și specializării.
Potrivit regulamentului, intrarea în sala de examen se face până la ora 08:30. La examenul de BAC 2022, candidații vor avea la dispoziție 3 ore pentru a rezolva subiectele. După ce subiectele și ciornele s-au împărțit tuturor, candidații încep să citească subiectele și să le rezolve.
Ministerul Educației a publicat o serie de modele de subiecte și baremele la matematică pentru BAC 2022. Acestea pot fi găsite pe site-ul oficial al Ministerului Educației, EDU.ro.
Subiecte BAC Matematică M1, M2 și M3
Subiectele la disciplina Matematică de la BAC 2022 vor fi diferite ca nivel de dificultate în funcție de fiecare profilul pe care candidații l-au absolvit.
Subiectele sunt împărțite pe specializări, după cum urmează: mate-info, pedagogic, științele naturii și tehnologic.
Iată o serie de subiecte în funcție de profil!
Sesiunea iunie-iulie
- 20 iunie 2022 Limba și literatura română — proba E.a)
— proba scrisă
- 21 iunie 2022 Proba obligatorie a profilului — proba E.c) — proba scrisă
- 22 iunie 2022 Proba la alegere a profilului și specializării — proba E.d) — proba scrisă
- 23 iunie 2022 Limba și literatura maternă — proba E.b) — proba scrisă
- 27 iunie 2022- Afișarea rezultatelor la probele scrise la BAC 2022 (până la ora 12.00) și depunerea contestațiilor în intervalul orar 12.00—18.00
- 28- 30 iunie 2022- Rezolvarea contestațiilor
- 1 iulie 2022- Afișarea rezultatelor finale la Bacalaureat 2022
Citeste si: Modele subiecte BAC 2022 Matematică. Exerciții pe care să le faci dacă vrei să iei notă mare
Rezultatele de la BAC 2022 se vor afișa pe data de 27 iunie 2022, până în ora 12:00, iar contestațiile vor fi depuse în intervalul orar 12:00- 18:00.
În perioada 28 iunie- 30 iunie 2022 contestațiile vor fi rezolvate, iar pe 1 iulie 2022, vor fi afișate rezultatele finale.
Este absolventă a Facultății de Jurnalism și Științele Comunicării din cadrul Universității București, specializarea Jurnalism și a urmat cursurile unui masterat în Resurse Umane.
A fost atrasă din timpul liceului de domeniul jurnalistic, motiv pentru care încă de pe băncile facultății a trecut prin redacțiile unor publicații și posturi de televiziune.
Și-a început cariera în presă în anul 2021 ca redactor pentru site-ul stirilekanald.ro, unde se află și astăzi și unde pune în practică pasiunea pentru jurnalism.