1 din 6 | Subiecte BAC 2022 Matematică: Ce a picat la Bacalaureat pentru elevii de la profilurile real şi tehnologic?
2 din 6 | Subiecte BAC 2022 Matematică: Ce a picat la Bacalaureat pentru elevii de la profilurile real şi tehnologic?
3 din 6 | Subiecte BAC 2022 Matematică: Ce a picat la Bacalaureat pentru elevii de la profilurile real şi tehnologic?
4 din 6 | Subiecte BAC 2022 Matematică: Ce a picat la Bacalaureat pentru elevii de la profilurile real şi tehnologic?
5 din 6 | Subiecte BAC 2022 Matematică: Ce a picat la Bacalaureat pentru elevii de la profilurile real şi tehnologic?
6 din 6 | Subiecte BAC 2022 Matematică: Ce a picat la Bacalaureat pentru elevii de la profilurile real şi tehnologic?
Subiecte BAC 2022 Matematică. Absolvenții de liceu vor susține astăzi, proba obligatorie a profilului din cadrul examenului de Bacalaureat 2022! Vezi cum arată subiectele la Matematică BAC 2022 pentru elevii de la profilurile real şi tehnologic!
Subiecte BAC 2022 Matematică. Marți, 21 iunie are loc proba obligatorie a profilului de la BAC 2022, astfel că elevii de la profilurile real, militar, tehnologic, pedagogic (educatoare-învățător) și științele naturii dau examen la matematică, iar cei de la uman și liceele vocaționale vor avea examen la istorie.
UPDATE: S-au afișat subiectele la Matematică de la BAC 2022!
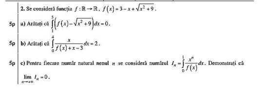
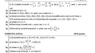
Subiectele de la proba la Matematică BAC 2022- mate-info
Subiectele de la proba la Matematică BAC 2022- tehnologic
Subiectele de la proba la Matematică BAC 2022- științele naturii
Subiecte BAC 2022 Matematică: Ce subiecte au picat la Bacalaureat pentru elevii de la profilurile real şi tehnologic?
Examenul de Bacalaureat 2022 continuă astăzi, cu proba obligatorie a profilului, astfel elevii de la profilul real vor avea de rezolvat subiectele la matematică.
Proba obligatorie a profilului, cea la Matematică are loc astăzi, 21 iunie, la ora 09:00. Accesul în sala de examen se face până la ora 08:30. La examenul de BAC 2022, candidații vor avea la dispoziție 3 ore pentru a rezolva subiectele. Astfel, după ce subiectele și ciornele s-au împărțit tuturor, candidații încep să citească subiectele și să le rezolve.
Distribuirea subiectelor pentru proba la Matematică BAC 2022 va începe la 09:00, iar Ministerul Educației le va publica oficial, după finalizarea examenului.
Citeste si: Subiecte Matematică BAC 2022: Proba obligatorie a profilului pentru M1, M2 şi M3
Instrumentele ajutătoare sau diverse obiectele sau materiale nepermise vor fi depozitate într-o sală specială, însoțite de o declarație-tip cu numele și prenumele elevului. Accesul în sala de examen se face în baza actului de identitate, cu cel puțin 30 de minute înainte de începerea probei scrise.
Candidaţii vor fi așezați câte unul în bancă, în ordine alfabetică. Așadar, după completarea casetei cu datele de identificare, liceenii primesc subiectele de examen și vor avea la dispoziție trei ore pentru rezolvarea lor, timp care este calculat din momentul în care au fost distribuite subiectele.
Pentru examenul de BAC 2022 se folosește doar cerneală sau pastă de culoare albastră.
Examenul va fi monitorizat audio-video. Astfel, elevii care vor fi surprinși cu obiecte interzise în sala de examinare ori comunicând între ei vor fi eliminați din examen, indiferent dacă materialele/obiectele interzise au fost folosite sau nu, indiferent dacă au fost introduse de aceștia ori de alți candidați, de cadre didactice din comisie sau de alte persoane și indiferent dacă ei au primit ori au transmis materialele interzise.
Calendar complet Bacalaureat 2022
Sesiunea iunie-iulie
- 20 iunie 2022 Limba și literatura română — proba E.a) — proba scrisă
- 21 iunie 2022 Proba obligatorie a profilului — proba E.c) — proba scrisă
- 22 iunie 2022 Proba la alegere a profilului și specializării — proba E.d) — proba scrisă
- 23 iunie 2022 Limba și literatura maternă — proba E.b) — proba scrisă
- 27 iunie 2022- Afișarea rezultatelor la probele scrise la BAC 2022 (până la ora 12.00) și depunerea contestațiilor în intervalul orar 12.00—18.00
- 28- 30 iunie 2022- Rezolvarea contestațiilor
- 1 iulie 2022- Afișarea rezultatelor finale la Bacalaureat 2022
Citeste si: Modele subiecte BAC 2022 Matematică. Exerciții pe care să le faci dacă vrei să iei notă mare
Rezultatele de la BAC 2022 se vor afișa pe data de 27 iunie 2022, până în ora 12:00, iar contestațiile vor fi depuse în intervalul orar 12:00- 18:00.
În perioada 28 iunie- 30 iunie 2022 contestațiile vor fi rezolvate, iar pe 1 iulie 2022, vor fi afișate rezultatele finale.
Citeste si: Subiecte Istorie BAC 2022: Proba obligatorie a profilului pentru elevii de clasa a 12-a
A absolvit Facultatea de Jurnalism și Științele Comunicării, specializarea Comunicare și Relații Publice, în cadrul Universității din București.
Primii ei pași spre o carieră în jurnalism i-a făcut la postul de televiziune Kanal D, acolo unde a început mai întâi ca practicant în redacție, și ulterior a fost promovată pe o poziție de redactor de știri.
Alina are o experiență de aproape doi ani în domeniul presei și se declară pasionată de arta povestirii în scris. Printre pasiunile ei se numără și călătoriile, plimbările în natură care o inspiră de fiecare dată, lectura, dar și desenul și pictura.
Pasiunea pentru jurnalism a descoperit-o încă de pe băncile liceului, când se vedea deja în redacția unui post de televiziune cunoscut.
Acum, ca redactor de știri, poate spune că, pentru ea, scrisul înseamnă o comunicare fără blocaje, un instrument prin care poate transmite publicului multiple cunoștințe câștigate pe parcursul experienței acumulate. Uneori îi place să spună că scrisul poate însemna mult mai mult, și anume o evadare din cotidianul cenușiu, care o poate transpune într-un tărâm de poveste, plin de culoare și emoție. De asemenea, în redactarea articolelor pentru stirilekanald.ro îi place să relateze mereu adevărul și informațiile de actualitate.