1 din 8 | Subiecte Matematică Evaluare Națională 2023. Cum arată subiectele pentru clasa a VIII-a?
2 din 8 | Subiecte Matematică Evaluare Națională 2023. Cum arată subiectele pentru clasa a VIII-a?
3 din 8 | Subiecte Matematică Evaluare Națională 2023. Cum arată subiectele pentru clasa a VIII-a?
4 din 8 | Subiecte Matematică Evaluare Națională 2023. Cum arată subiectele pentru clasa a VIII-a?
5 din 8 | Subiecte Matematică Evaluare Națională 2023. Cum arată subiectele pentru clasa a VIII-a?
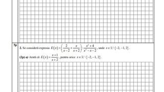
6 din 8 | Subiecte Matematică Evaluare Națională 2023. Cum arată subiectele pentru clasa a VIII-a?
7 din 8 | Subiecte Matematică Evaluare Națională 2023. Cum arată subiectele pentru clasa a VIII-a?
8 din 8 | Subiecte Matematică Evaluare Națională 2023. Cum arată subiectele pentru clasa a VIII-a?
Subiecte Matematică Evaluare Națională 2023. La sfârșitul clasei a VIII-a, elevii urmează să susțină un examen foarte important și anume Evaluare Națională, etapă de dinainte de a intra la liceul dorit.
Subiecte Matematică Evaluare Națională 2023. A mai rămas o săptămână până când elevii claselor a opta vor susține Evaluarea Națională, examen ce îi va conduce direct pe băncile liceelor din țară.
Subiecte Matematică Evaluare Națională 2023
Deși greva care a ținut trei săptămâni a pus la îndoială desfășurarea normală a examenelor de Evaluare Națională și Bacalaureat, acestea se vor susține conform calendarului.
Simulările au avut loc în luna martie, iar acum elevii sunt foarte aproape de examenul ce le va concretiza următorii patru ani din viață.
Rezultatele obținute la simulări au fost trecute în catalog doar la cererea elevului, iar cele obținute la examen vor ajuta la departajarea acestora la liceele din țară.
Citește și: Competențe BAC Franceză 2023. Modele de subiecte pentru proba orală!
Toate modelele de subiecte și baremele de corectare pentru examenul la Limba Română și Matematică se găsesc chiar aici.
Iată unul dintre modelele de la proba de Matematică!
Calendar examene Evaluare Națională 2023
Iată calendarul complet al examenelor din cadrul Evaluării Naționale 2023!
Citește și: Competențe BAC Engleză 2023. Cum arată subiectele?
- 6 – 9 iunie 2023: Înscrierea la Evaluarea Națională
- 9 iunie 2023: Încheierea cursurilor pentru elevii de clasa a VIII-a
- 19 iunie 2023: Limba și literatura română – probă scrisă
- 21 iunie 2023: Matematica – probă scrisă
- 22 iunie 2023: Limba și literatura maternă – probă scrisă
- 28 iunie 2023 (până la ora 14:00): Afișarea rezultatelor înaintea contestațiilor
- 28 iunie 2023 (ora 16:00 – ora 19:00) – 29 iunie 2023 (ora 8:00 – ora 12:00): Depunerea contestațiilor
- 29 iunie – 4 iulie 2023: Soluționarea contestațiilor
- 4 iulie 2023: Afișarea rezultatelor finale după soluționarea contestațiilor
Laura are 23 de ani și este din Suceava. A terminat facultatea de jurnalism în 2022 si va urma un master.
Face parte din echipa stirilekanald.ro din martie 2022.
Este o fire ambițioasă, creative, pasionată de frumos, sensibilă, dar și puternică.
”Sunt recunoscătoare pentru tot ceea ce am zi de zi. Am ajuns aici datorită faptului ca îmi place să scriu”