1 din 5 | Barem Matematică BAC 2022: Rezolvări şi punctaje pentru profilul mate-info, tehnologic şi ştiinţe ale naturii
2 din 5 | Barem Matematică BAC 2022: Rezolvări şi punctaje pentru profilul mate-info, tehnologic şi ştiinţe ale naturii
3 din 5 | Barem Matematică BAC 2022: Rezolvări şi punctaje pentru profilul mate-info, tehnologic şi ştiinţe ale naturii
4 din 5 | Barem Matematică BAC 2022: Rezolvări şi punctaje pentru profilul mate-info, tehnologic şi ştiinţe ale naturii
5 din 5 | Barem Matematică BAC 2022: Rezolvări şi punctaje pentru profilul mate-info, tehnologic şi ştiinţe ale naturii
Barem Matematică BAC 2022. Elevii de clasa a XII-a au susținut astăzi, 21 iunie, proba obligatorie a profilului de la BAC 2022. Iată baremul cu răspunsurile corecte pentru profilul mate-info, tehnologic şi ştiinţe ale naturii!
Barem Matematică BAC 2022: Vezi cum arată subiectele și baremul de corectare la Matematică BAC 2022!
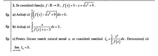
Baremul de corectare la Matematică BAC 2022 se regăseşte pe subiecte.edu.ro.
Barem Matematică BAC 2022. Răspunsurile corecte pentru profilul mate-info, tehnologic şi ştiinţe ale naturii
Baremul de corectare pentru subiectele la Matematică de la Bacalaureat 2022 pentru profilul: Mate-info, Științele naturii, profil tehnologic și profil pedagogic, vor apărea la ora 15:00 pe site-ul Ministerului Educației, EDU.RO.
Absolvenţii clasei a XII-a au susținut astăzi, proba obligatorie a profilului la Matematică sau Istorie. Elevii care au absolvit cursurile profilului real au avut de rezolvat subiecte de M1 sau M2, în funcţie de specializare.
Citeste si: Subiecte BAC 2022 Istorie: Ce a picat la Bacalaureat pentru elevii de la profil uman?
Iată subiectele la Matematică de la BAC 2022, publicate de Ministerul Educației!
Subiectele de la proba la Matematică BAC 2022- mate-info
Subiectele de la proba la Matematică BAC 2022- tehnologic
Subiectele de la proba la Matematică BAC 2022- științele naturii
Citeste si: Edu.ro Barem Istorie BAC 2022: Răspunsurile pentru examenul de astăzi de la Bacalaureat 2022
Examenul de Bacalaureat 2022 continuă miercuri, 22 iunie cu proba la alegere a profilului și specializării, astfel elevii vor avea de rezolvat subiectele la Geografie, Logică și Argumentare, Psihologie, Filozofie, Economie, Sociologie, Fizică, Chimie, Biologie, Informatică.
Candidații vor avea la dispoziție trei ore, pentru rezolvarea subiectelor.
Proba la alegere a profilului va începe miercuri, 22 iunie, la ora 09:00. Accesul în sala de examen se face până la ora 08:30. La examenul de BAC 2022, candidații vor avea la dispoziție 3 ore pentru a rezolva subiectele. Astfel, după ce subiectele și ciornele s-au împărțit tuturor, candidații încep să citească subiectele și să le rezolve.
Așadar, distribuirea subiectelor pentru proba la alegere a profilului și specializării va începe de la 09:00, iar Ministerul Educației le va publica oficial, după finalizarea examenului.
Calendar complet Bacalaureat 2022
Sesiunea iunie-iulie
- 20 iunie 2022 Limba și literatura română — proba E.a) — proba scrisă
- 21 iunie 2022 Proba obligatorie a profilului — proba E.c) — proba scrisă
- 22 iunie 2022 Proba la alegere a profilului și specializării — proba E.d) — proba scrisă
- 23 iunie 2022 Limba și literatura maternă — proba E.b) — proba scrisă
- 27 iunie 2022- Afișarea rezultatelor la probele scrise la BAC 2022 (până la ora 12.00) și depunerea contestațiilor în intervalul orar 12.00—18.00
- 28- 30 iunie 2022- Rezolvarea contestațiilor
- 1 iulie 2022- Afișarea rezultatelor finale la Bacalaureat 2022
Citeste si: Subiecte Anatomie- Biologie BAC 2022: Baremul de corectare, pe EDU.ro
Când se afișează rezulatele de la BCA 2022?
Rezultatele de la BAC 2022 se vor afișa pe data de 27 iunie 2022, până în ora 12:00, iar contestațiile vor fi depuse în intervalul orar 12:00- 18:00.
În perioada 28 iunie- 30 iunie 2022 contestațiile vor fi rezolvate, iar pe 1 iulie 2022, vor fi afișate rezultatele finale.
Citeste si: Subiecte Istorie BAC 2022: Proba obligatorie a profilului pentru elevii de clasa a 12-a
A absolvit Facultatea de Jurnalism și Științele Comunicării, specializarea Comunicare și Relații Publice, în cadrul Universității din București.
Primii ei pași spre o carieră în jurnalism i-a făcut la postul de televiziune Kanal D, acolo unde a început mai întâi ca practicant în redacție, și ulterior a fost promovată pe o poziție de redactor de știri.
Alina are o experiență de aproape doi ani în domeniul presei și se declară pasionată de arta povestirii în scris. Printre pasiunile ei se numără și călătoriile, plimbările în natură care o inspiră de fiecare dată, lectura, dar și desenul și pictura.
Pasiunea pentru jurnalism a descoperit-o încă de pe băncile liceului, când se vedea deja în redacția unui post de televiziune cunoscut.
Acum, ca redactor de știri, poate spune că, pentru ea, scrisul înseamnă o comunicare fără blocaje, un instrument prin care poate transmite publicului multiple cunoștințe câștigate pe parcursul experienței acumulate. Uneori îi place să spună că scrisul poate însemna mult mai mult, și anume o evadare din cotidianul cenușiu, care o poate transpune într-un tărâm de poveste, plin de culoare și emoție. De asemenea, în redactarea articolelor pentru stirilekanald.ro îi place să relateze mereu adevărul și informațiile de actualitate.