1 din 5 | Câți bani primesc angajații DSP București pentru a lupta împotriva COVID-19 din linia 1? Medicii iau peste 15.000 lei, asietentele 4.800 lei iar șoferii 4.000 lei
2 din 5 | Câți bani primesc angajații DSP București pentru a lupta împotriva COVID-19 din linia 1? Medicii iau peste 15.000 lei, asietentele 4.800 lei iar șoferii 4.000 lei
3 din 5 | Câți bani primesc angajații DSP București pentru a lupta împotriva COVID-19 din linia 1? Medicii iau peste 15.000 lei, asietentele 4.800 lei iar șoferii 4.000 lei
4 din 5 | Câți bani primesc angajații DSP București pentru a lupta împotriva COVID-19 din linia 1? Medicii iau peste 15.000 lei, asietentele 4.800 lei iar șoferii 4.000 lei
5 din 5 | Câți bani primesc angajații DSP București pentru a lupta împotriva COVID-19 din linia 1? Medicii iau peste 15.000 lei, asietentele 4.800 lei iar șoferii 4.000 lei
În aceste momente dificile, toți ochii românilor sunt ațintiți asupra inspectorilor și medicilor DSP. Aceștia sunt în prima linie a luptei împotriva COVID-19.
România trece printr-o situație fără precedent, iar toate speranțele pentru ieșirea din aceasta se îndreaptă către medicii din spitale și către Direcția de Săntate Publică. Totuși, cât de mult câștigă un medic sau un specialist de la DSP și cât câștigă cei care își pun zilnic în pericol sănătatea și chiar viața în această luptă.
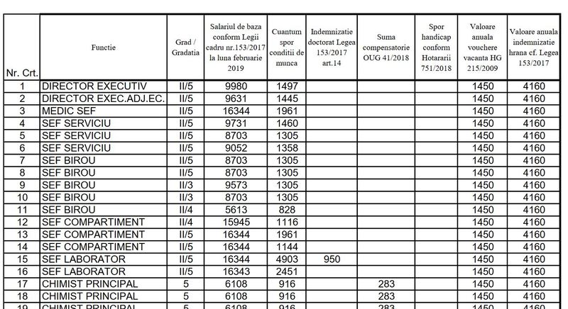
Salarii motivante la DSP București
Conform unui document consultat de stirilekanald.ro care datează din martie 2019, media salariilor de la DSP București era unul destul de ridicat. Astfel, un medic primar câștiga lunar un salariu brut de peste 15.000 lei, la care se adaugă un supliment de hrană și un spor lunar de 545 lei. Medicul șef de la DSP București avea anul trecut un salariu de peste 16.000 lei iar asistenții medicali 4.800 lei brut (plus un spor de 730 lei).
În organigramă mai apar chimiști principali care au câștigat peste 6.000
lei, doi medici rezidenți peste 8.000 lei, biologi cu salarii de aproximativ 6.000 lei, doi fizicieni- 4.800-6.000 lei, un farmacist- 7.200 lei, un psiholog- 5.100 lei, doi infirmieri- 2.700 lei și un casier- 2.800 lei. În total, la DSP București lucrau, anul trecut, 213 persoane.Citeste si: Şefa DSP Timiş, la două săptămâni după ce a fost numită în funcţie: Suntem depăşiţi de situaţie
Cel mai probabil, puțini sunt cei care, atunci când au ajuns să lucreze în cadrul Direcției de Sănătate Publică s-au gândit vreun moment că vor ajunge în situația în care se află acum, adică în linia 1 în lupta împotriva pandemiei COVID-19.