1 din 10 | Simulare Matematică Evaluarea Națională 2023. Ce a picat la subiectul III?
2 din 10 | Simulare Matematică Evaluarea Națională 2023. Ce a picat la subiectul III?
3 din 10 | Simulare Matematică Evaluarea Națională 2023. Ce a picat la subiectul III?
4 din 10 | Simulare Matematică Evaluarea Națională 2023. Ce a picat la subiectul III?
5 din 10 | Simulare Matematică Evaluarea Națională 2023. Ce a picat la subiectul III?
6 din 10 | Simulare Matematică Evaluarea Națională 2023. Ce a picat la subiectul III?
7 din 10 | Simulare Matematică Evaluarea Națională 2023. Ce a picat la subiectul III?
8 din 10 | Simulare Matematică Evaluarea Națională 2023. Ce a picat la subiectul III?
9 din 10 | Simulare Matematică Evaluarea Națională 2023. Ce a picat la subiectul III?
10 din 10 | Simulare Matematică Evaluarea Națională 2023. Ce a picat la subiectul III?
Simulare Matematică Evaluarea Națională 2023. Simularea la Matematică a avut loc pe 21 martie. Elevii au avut de rezolvat în două ore trei subiecte cu exerciții și probleme de algebră și geometrie.
UPDATE 15:00: A fost publicat baremul de corectare și notare pentru simularea la Matematică! Iată răspunsurile corecte de la proba pentru simularea Evaluării Naționale 2023!
Simulare Matematică Evaluarea Națională 2023. Iată care au fost exercițiile și problemele! În cea mai mare parte, subiectele au pus accent pe cerințe abstracte, fără a fi făcute referiri din viața reală, potrivit edupedu.ro.
Subiectele au câte 30 de puncte. La primele două subiecte răspunsurile erau de tip grilă, unde un singur răspuns era corect. Subiectul al III-lea a venit pentru elevi cu rezolvarea unor probleme de algebră și geometrie.
Simulare Matematică Evaluarea Națională 2023. Care au fost cerințele de la subiectul III?
Cerințele pe care elevii le-au avut de rezolvat sunt compuse din trei subiecte, care la rândul lor conțin alte exerciții pe care candidații trebuie să parcurgă în cele două ore.
Subiectul al III-lea a venit pentru elevi cu rezolvarea unor probleme de algebră și geometrie.
După terminarea probei scrise, candidații au spus că subiectul al III-lea a fost cel mai dificil, mai exact punctul 6. Baremul de corectare și notare va fi disponibil astăzi în jurul orei 15:00 pe site-ul Ministerului Educației și Cercetării subiecte.edu.ro.
Citește și: Simulare Matematică Evaluare Națională 2023. La ce oră va fi publicat baremul? Anunț important pentru elevi!
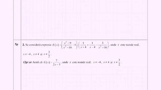
Iată ce a presupus subiectul III!
Citește și: Edu.ro Simulare Matematică Evaluare Națională 2023. Cum sunt punctate subiectele?
La subiectul III, au existat șase cerințe, fiecare notată cu 5 puncte dacă este rezolvată corect.
Edu.ro Simulare Matematică Evaluare Națională 2023. Rezultatele nu vor fi trecute în catalog
„Rezultatele obținute de elevi la simularea Evaluării Naționale pentru absolvenții clasei a VIII-a și la simularea probelor scrise ale examenului național de bacalaureat, în anul școlar 2022 – 2023, sunt analizate la nivelul fiecărei unități de învățământ în care s-au desfășurat aceste simulări, prin discuții individuale cu elevii, dezbateri la nivelul clasei, ședințe cu părinții, precum și la nivelul consiliului
Calendar Simulare Evaluare Națională 2023
- 20 martie 2023: Limba şi literatura română – probă scrisă
- 21 martie 2023: Matematică – probă scrisă
- 22 martie 2023: Limba şi literatura maternă – probă scrisă
- 29 martie 2023: Comunicarea rezultatelor
Este absolventă a Facultății de Jurnalism și Științele Comunicării din cadrul Universității București, specializarea Jurnalism și a urmat cursurile unui masterat în Resurse Umane.
A fost atrasă din timpul liceului de domeniul jurnalistic, motiv pentru care încă de pe băncile facultății a trecut prin redacțiile unor publicații și posturi de televiziune.
Și-a început cariera în presă în anul 2021 ca redactor pentru site-ul stirilekanald.ro, unde se află și astăzi și unde pune în practică pasiunea pentru jurnalism.