1 din 13 | Simulare Matematică Evaluarea Națională 2023. Subiectele și rezolvările vor fi publicate astăzi!
2 din 13 | Simulare Matematică Evaluarea Națională 2023. Subiectele și rezolvările vor fi publicate astăzi!
3 din 13 | Simulare Matematică Evaluarea Națională 2023. Subiectele și rezolvările vor fi publicate astăzi!
4 din 13 | Simulare Matematică Evaluarea Națională 2023. Ce subiecte au avut elevii? A fost publicat baremul de corectare și notare!
5 din 13 | Simulare Matematică Evaluarea Națională 2023. Ce subiecte au avut elevii? A fost publicat baremul de corectare și notare!
6 din 13 | Simulare Matematică Evaluarea Națională 2023. Ce subiecte au avut elevii? A fost publicat baremul de corectare și notare!
7 din 13 | Simulare Matematică Evaluarea Națională 2023. Ce subiecte au avut elevii? A fost publicat baremul de corectare și notare!
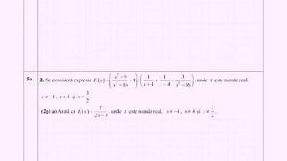
8 din 13 | Simulare Matematică Evaluarea Națională 2023. Ce subiecte au avut elevii? A fost publicat baremul de corectare și notare!
9 din 13 | Simulare Matematică Evaluarea Națională 2023. Ce subiecte au avut elevii? A fost publicat baremul de corectare și notare!
10 din 13 | Simulare Matematică Evaluarea Națională 2023. Ce subiecte au avut elevii? A fost publicat baremul de corectare și notare!
11 din 13 | Simulare Matematică Evaluarea Națională 2023. Ce subiecte au avut elevii? A fost publicat baremul de corectare și notare!
12 din 13 | Simulare Matematică Evaluarea Națională 2023. Ce subiecte au avut elevii? A fost publicat baremul de corectare și notare!
13 din 13 | Simulare Matematică Evaluarea Națională 2023. Ce subiecte au avut elevii? A fost publicat baremul de corectare și notare!
Simulare Matematică Evaluarea Națională 2023. Astăzi avut loc cea de-a doua probă a simulării Evaluării Naționale. Iată când vor fi anunțate subiectele și baremul!
UPDATE 15:00: A fost publicat baremul de corectare și notare pentru simularea la Matematică! Iată răspunsurile corecte de la proba pentru simularea Evaluării Naționale 2023!
UPDATE: Au apărut subiectele pe care elevii le-au avut de rezolvat!
Subiectul I
Încercuiește litera corespunzătoare răspunsului corect. – 30 de puncte, câte 5 puncte pentru fiecare item de mai jos
1. Numărul natural scris în baza zece, de forma 17x, divizibil cu 10, este egal cu:
- a) 17
- b) 70
- c) 100
- d) 170
2.
- a) 10
- b) 20
- c) 25
- d) 100
3. Suma numerelor întregi din intervalul [−2,3], este egală cu:
- a) −9
- b) −3
- c) 3
- d) 6
4.
Inversul numărului 2/3 este numărul:- a) -3/2
- b) −2/3
- c) 2/3
- d) 3/2
5. Patru elevi, Elena, Maria, George și Mihai, au calculat media geometrică a numerelor y= 3 -2√2 și y= 3+2√2 și au obținut următoarele rezultate:
Elena √17
Maria √2
George 1
Mihai 3
Dintre cei patru elevi, cel care a calculat corect media geometrică este:
- a) Elena
- b) Maria
- c) George
- d) Mihai
6. Afirmația „Numărul 4 este mai mare decât numărul 2 5 .” este:
a) adevărată
b) falsă
Subiectul al II-lea – 30 de puncte, câte 5 puncte pentru fiecare item
1. În figura alăturată este reprezentat segmentul AB cu lungimea de 5 cm. Punctul C este simetricul punctului B față de punctul A, iar punctul D este simetricul punctului C față de punctul B. Lungimea segmentului CD este egală cu:
a) 5cm
b) 10cm
c) 15cm
d) 20cm
Sursa: edupedu.ro.
Simulare Matematică Evaluarea Națională 2023. Proba la Matematică a început!
Elevii au avut acces în săli până la ora 08:30. Candidații au la dispoziție două ore pentru a rezolva subiectele primite la Matematică.
Știrilekanald.ro. va anunța subiectele și baremul de corectare imediat după terminarea probei scrise, când acestea vor fi publicate.
Simulare Matematică Evaluarea Națională 2023. Proba scrisă la Matematică are loc astăzi, 21 martie 2023
O nouă zi cu emoții pentru elevii claselor a VIII-a. Aceștia susțin proba scrisă la Matematică. Subiectele cor apărea și pe Știrilekanald.ro când acestea vor fi publicate de autorități. Pentru simularea Evaluării Naționale candidații susțin două probe scrise, la Română și Matematică, și după caz pentru minoritățile care studiază limba maternă.
Cerințele pe care elevii le vor avea de rezolvat sunt compuse din trei subiecte, care la rândul lor conțin alte exerciții pe care candidații trebuie să parcurgă în cele două ore. Fiecare subiect are 30 de puncte, acordându-se 10 puncte din oficiu.
Citește și: Edu.ro Simulare Matematică Evaluare Națională 2023. Examenul a început! Subiectele și rezolvările!
Ministerul Educației și Cercetării a anunțat că subiectele sunt elaborate potrivit programei. Subiectele de la simularea de la Evaluarea Națională 2023, sunt sub forma unei broșuri tipărite față-spate, transmisă de Centrul Național pentru Politici în Educație și Evaluare. Elevii pot cere asistenților prezenți în sala de examen pagini suplimentare pentru a continua rezolvarea subiectelor, dacă mai au nevoie.
Ministerul Educației și Cercetării a publicat mai multe modele de subiecte și baremele de corectare pentru fiecare materie la care se susține examenul de Evaluare Națională care pot fi găsite pe site-ul subiecte.edu.ro.
Simulare Matematică Evaluarea Națională 2023. Ce conținuturi au fost exceptate din programă?
Matematică:
Domeniul de conținut: Algebră
Subdomeniul: Ecuații. Inecuații. Sisteme de ecuații
- Ecuații de forma
Subdomeniul: Funcții
- Reprezentarea şi interpretarea unor dependenţe funcţionale prin tabele, diagrame şi grafice;
- Funcții definite pe mulțimi finite, exprimate cu ajutorul unor diagrame, tabele, formule; graficul unei funcții, reprezentarea geometrică a graficului unor funcții numerice;
- Funcţii de forma unde a şi b sunt numere reale și D este o mulțime finită de numere reale sau un interval nedegenerat; interpretare geometrică; lecturi grafice.
Domeniul de conținut: Geometrie
Subdomeniul: Corpuri geometrice
- Perpendicularitate: plane perpendiculare; unghi diedru, unghi plan corespunzător diedrului; unghiul a două plane; teorema celor trei perpendiculare;
- Arii şi volume ale unor corpuri geometrice: piramidă regulată (cu baza triunghi echilateral, pătrat sau hexagon regulat), prismă dreaptă (cu baza triunghi echilateral, pătrat sau hexagon regulat), paralelipiped dreptunghic, cub, cilindru circular drept, con circular drept, trunchi de piramidă regulată, trunchi de con circular drept;
- Sfera: arie, volum;
Calendarul simulării Evaluării Naționale 2023
- 20 martie 2023: Limba şi literatura română – probă scrisă
- 21 martie 2023: Matematică – probă scrisă
- 22 martie 2023: Limba şi literatura maternă – probă scrisă
- 29 martie 2023: Comunicarea rezultatelor
Citește și: Barem matematică simulare Evaluare Națională 2023. Câte puncte are fiecare subiect? Rezolvările corecte!
Este absolventă a Facultății de Jurnalism și Științele Comunicării din cadrul Universității București, specializarea Jurnalism și a urmat cursurile unui masterat în Resurse Umane.
A fost atrasă din timpul liceului de domeniul jurnalistic, motiv pentru care încă de pe băncile facultății a trecut prin redacțiile unor publicații și posturi de televiziune.
Și-a început cariera în presă în anul 2021 ca redactor pentru site-ul stirilekanald.ro, unde se află și astăzi și unde pune în practică pasiunea pentru jurnalism.