1 din 5 | Subiecte Biologie BAC 2022: Ce au primit elevii la proba la alegere a profilului?
2 din 5 | Subiecte Biologie BAC 2022: Ce au primit elevii la proba la alegere a profilului?
3 din 5 | Subiecte Biologie BAC 2022: Ce au primit elevii la proba la alegere a profilului?
4 din 5 | Subiecte Biologie BAC 2022: Ce au primit elevii la proba la alegere a profilului?
5 din 5 | Subiecte Biologie BAC 2022: Ce au primit elevii la proba la alegere a profilului?
Subiecte Biologie BAC 2022. Elevii claselor a XII-a și a XIII-a susțin astăzi, 22 iunie, proba la alegere a profilului. Vezi ce subiecte au picat la Biologie Bac 2022 pentru elevii de la profil real!
Subiecte Biologie BAC 2022 . Examenul de BAC 2022 continuă miercuri, 22 iunie cu proba la alegere a profilului.
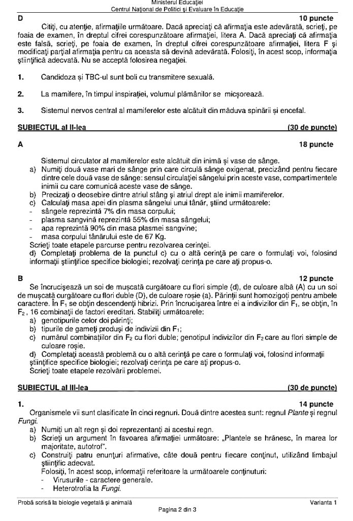
Elevii de liceu de la profilul real vor avea de rezolvat subiectele la Biologie din cadrul examenului de Bacalaureat.
Subiecte BAC 2022 Biologie: Ce subiecte au picat la Bacalaureat pentru elevii de la profil real?
Subiectele la biologie la BAC 2022 au fost distribuite la ora 09:00, atunci când a început examenul, iar pentru rezolvarea lor liceenii au la dispoziție trei ore.
Știrilekanald.ro vă va prezenta subiectele la Biologie la BAC 2022 imediat ce acestea vor fi afișate de Ministerul Educației.
Examenul la Biologie a început de la ora 09:00 şi se va încheia la ora 12:00.
Citeste si: Subiecte BAC 2022 Matematică: Ce a picat la Bacalaureat pentru elevii de la profilurile real şi tehnologic?
Ministerul Educației va publica baremul la Biologie de la BAC 2022, în jurul orei 15.00.
Calendar complet Bacalaureat 2022
Sesiunea iunie-iulie
- 20 iunie 2022 Limba și literatura română — proba E.a) — proba scrisă
- 21 iunie 2022 Proba obligatorie a profilului — proba E.c) — proba scrisă
- 22 iunie 2022 Proba la alegere a profilului și specializării — proba E.d) — proba scrisă
- 23 iunie 2022 Limba și literatura maternă — proba E.b) — proba scrisă
- 27 iunie 2022- Afișarea rezultatelor la probele scrise la BAC 2022 (până la ora 12.00) și depunerea contestațiilor în intervalul orar 12.00—18.00
- 28- 30 iunie 2022- Rezolvarea contestațiilor
- 1 iulie 2022- Afișarea rezultatelor finale la Bacalaureat 2022
Rezultatele de la BAC 2022 se vor afișa pe data de 27 iunie 2022, până în ora 12:00, iar contestațiile vor fi depuse în intervalul orar 12:00- 18:00.
În perioada 28 iunie- 30 iunie 2022 contestațiile vor fi rezolvate, iar pe 1 iulie 2022, vor fi afișate rezultatele finale.
Este studentă în anul 3 la Facultatea de Jurnalism și Științele Comunicării, Universitatea din București. ”Pasiunea pentru jurnalism o am încă de mică, atunci când scriam în jurnale gânduri, idei și dorințe pe care le aveam. Pasiunea s-a menținut și peste ani, realizând că acest domeniu înseamnă multă cunoaștere. Diversitatea pe care o oferă jurnalismul mă face să mă regăsesc total, drept urmare am aplicat și pentru un job în domeniu”.
Îi place să descopăr mereu locuri noi și să cunoască oameni. Natura reprezintă pentru Alexandra locul în care se deconectează de fiecare data.
Cărțile de dezvoltare personală și psihologie au devenit o pasiune pentru ea: ”Părerea mea este că ne ajută în sfera autocunoașterii, cât și în relaționarea cu ceilalți”.
”Pe viitor sper să lucrez tot în presă și să ajung un jurnalist de success”.