1 din 5 | Subiecte Matematică Bacalaureat 2022: Examenul începe la ora 09:00. Cum arată subiectele?
2 din 5 | Subiecte Matematică Bacalaureat 2022: Examenul începe la ora 09:00. Cum arată subiectele?
3 din 5 | Subiecte Matematică Bacalaureat 2022: Examenul începe la ora 09:00. Cum arată subiectele?
4 din 5 | Subiecte Matematică Bacalaureat 2022: Examenul începe la ora 09:00. Cum arată subiectele?
5 din 5 | Subiecte Matematică Bacalaureat 2022: Examenul începe la ora 09:00. Cum arată subiectele?
Subiecte Matematică Bacalaureat 2022. Astăzi, 21 iunie 2022, are loc cea de-a doua probă în cadrul examenului de bacalaureat. Iată cum arată subiectele!
Subiecte Matematică Bacalaureat 2022. Astăzi, 21 iunie 2022, are loc proba obligatorie a profilului de la BAC 2022. Elevii de la profilurile real, militar, tehnologic, pedagogic (educatoare-învățător) și științele naturii dau examen la matematică, iar cei de la uman și liceele vocaționale vor avea examen la istorie.
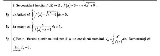
Cum arată subiectele de la profilurile real şi tehnologic?
Citeste si: Subiecte BAC 2022 Matematică: Ce a picat la Bacalaureat pentru elevii de la profilurile real şi tehnologic?
Proba la alegere a profilului, cea la Matematică are loc astăzi, 21 iunie, la ora 09:00. Accesul în sala de examen se face până la ora 08:30.
Instrumentele ajutătoare sau diverse obiectele sau materiale nepermise vor fi depozitate într-o sală specială, însoțite de o declarație-tip cu numele și prenumele elevului. Accesul în sala de examen se face în baza actului de identitate, cu cel puțin 30 de minute înainte de începerea probei scrise.
Elevii vor fi așezați în ordine alfabetic, câte unul în bancă.
După completarea casetei cu datele de identificare, liceenii primesc subiectele de examen și vor avea la dispoziție trei ore pentru rezolvarea lor, timp care este calculat din momentul în care au fost distribuite subiectele.La examenul de BAC 2022 se folosește doar cerneală sau pastă de culoare albastră.
Examenul va fi monitorizat audio-video. Astfel, elevii care vor fi surprinși cu obiecte interzise în sala de examinare ori comunicând între ei vor fi eliminați din examen, indiferent dacă materialele/obiectele interzise au fost folosite sau nu, indiferent dacă au fost introduse de aceștia ori de alți candidați, de
cadre didactice din comisie sau de alte persoane și indiferent dacă ei au primit ori au transmis materialele interzise.Candidații eliminați din examen nu vor mai avea dreptul să participe la următoarele două sesiuni de BAC.
Calendar bacalaureat sesiune iunie-iulie 2022
- 20 iunie 2022 Limba și literatura română — proba E.a) — proba scrisă
- 21 iunie 2022 Proba obligatorie a profilului — proba E.c)
— proba scrisă
- 22 iunie 2022 Proba la alegere a profilului și specializării — proba E.d) — proba scrisă
- 23 iunie 2022 Limba și literatura maternă — proba E.b) — proba scrisă
- 27 iunie 2022- Afișarea rezultatelor la probele scrise la BAC 2022 (până la ora 12.00) și depunerea contestațiilor în intervalul orar 12.00—18.00
- 28- 30 iunie 2022- Rezolvarea contestațiilor
- 1 iulie 2022- Afișarea rezultatelor finale la Bacalaureat 2022
Citeste si: Modele subiecte BAC 2022 Matematică. Exerciții pe care să le faci dacă vrei să iei notă mare
Rezultatele vor fi afișate pe data de 27 iunie 2022, până în ora 12:00. Contestațiile vor fi depuse în intervalul orar 12:00- 18:00.
În perioada 28 iunie- 30 iunie 2022 contestațiile vor fi rezolvate, iar pe 1 iulie 2022, vor fi afișate rezultatele finale.
Citeste si: Rezultate Evaluare Națională 2022: Când se publică notele pe EDU.ro? Anunţ pentru elevi
Este studentă în anul 3 la Facultatea de Jurnalism și Științele Comunicării, Universitatea din București. ”Pasiunea pentru jurnalism o am încă de mică, atunci când scriam în jurnale gânduri, idei și dorințe pe care le aveam. Pasiunea s-a menținut și peste ani, realizând că acest domeniu înseamnă multă cunoaștere. Diversitatea pe care o oferă jurnalismul mă face să mă regăsesc total, drept urmare am aplicat și pentru un job în domeniu”.
Îi place să descopăr mereu locuri noi și să cunoască oameni. Natura reprezintă pentru Alexandra locul în care se deconectează de fiecare data.
Cărțile de dezvoltare personală și psihologie au devenit o pasiune pentru ea: ”Părerea mea este că ne ajută în sfera autocunoașterii, cât și în relaționarea cu ceilalți”.
”Pe viitor sper să lucrez tot în presă și să ajung un jurnalist de success”.