1 din 11 | Simulare Matematică Evaluare Națională 2023. Ce a picat la subiectele I, II și III?
2 din 11 | Simulare Matematică Evaluare Națională 2023. Ce a picat la subiectele I, II și III?
3 din 11 | Simulare Matematică Evaluare Națională 2023. Ce a picat la subiectele I, II și III?
4 din 11 | Simulare Matematică Evaluare Națională 2023. Ce a picat la subiectele I, II și III?
5 din 11 | Simulare Matematică Evaluare Națională 2023. Ce a picat la subiectele I, II și III?
6 din 11 | Simulare Matematică Evaluare Națională 2023. Ce a picat la subiectele I, II și III?
7 din 11 | Simulare Matematică Evaluare Națională 2023. Ce a picat la subiectele I, II și III?
8 din 11 | Simulare Matematică Evaluare Națională 2023. Ce a picat la subiectele I, II și III?
9 din 11 | Simulare Matematică Evaluare Națională 2023. Ce a picat la subiectele I, II și III?
10 din 11 | Simulare Matematică Evaluare Națională 2023. Ce a picat la subiectele I, II și III?
11 din 11 | Simulare Matematică Evaluare Națională 2023. Ce a picat la subiectele I, II și III?
Simulare Matematică Evaluare Națională 2023. Elevii claselor a opta au susținut astăzi proba de simulare la matematică a Evaluării Naționale 2023, examen ce se va desfășura vara aceasta.
UPDATE 15:00: A fost publicat baremul de corectare și notare pentru simularea la Matematică! Iată răspunsurile corecte de la proba pentru simularea Evaluării Naționale 2023!
Simulare Matematică Evaluare Națională 2023. Simulare Matematică Evaluare Națională 2023. Au apărut subiectele de la Matematică pe care elevii claselor a VIII-a le-au avut de rezolvat astăzi.
Subiecte simulare Matematică Evaluării Naționale 2023. A doua probă a simulării Evaluării Naționale s-a încheiat.
Candidații au avut la dispoziție două ore pentru a rezolva subiectele primite la Matematică.
Iată care au fost exercițiile și problemele! În cea mai mare parte, subiectele au pus accent pe cerințe abstracte, fără a fi făcute referiri din viața reală, potrivit edupedu.ro.
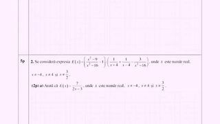
Ce a picat la subiectele I, II și III?
Elevii claselor a opta au terminat astăzi proba de simulare la matematică.
Subiectele au câte 30 de puncte. La primele două subiecte răspunsurile erau de tip grilă, unde un singur răspuns era corect. Subiectul al III-lea a venit pentru elevi cu rezolvarea unor probleme de algebră și geometrie.
După terminarea probei scrise, candidații au spus că subiectul al III-lea a fost cel mai dificil, mai exact punctul 6.
Baremul de corectare și notare va fi disponibil astăzi în jurul orei 15:00 pe site-ul Ministerului Educației și Cercetării subiecte.edu.ro.
Rezultatele nu vor fi trecute în catalog
Potrivit Ministerului Educației, notele obținute la aceste simulări nu vor fi trecute în catalog, decât la cererea scrisă a elevului.
„ Rezultatele obținute de elevi la simularea Evaluării Naționale pentru absolvenții clasei a VIII-a și la simularea probelor scrise ale examenului național de bacalaureat, în anul școlar 2022 – 2023, sunt analizate la nivelul fiecărei unități de învățământ în care s-au desfășurat aceste simulări, prin discuții individuale cu elevii, dezbateri la nivelul clasei, ședințe cu părinții, precum și la nivelul consiliului profesoral, în vederea adoptării unor măsuri pentru îmbunătățirea performanțelor școlare ”, precizează Ministerul Educației.
Calendar Simulare Evaluare Națională 2023
- 20 martie 2023: Limba şi literatura română – probă scrisă
- 21 martie 2023: Matematică – probă scrisă
- 22 martie 2023: Limba şi literatura maternă – probă scrisă
- 29 martie 2023: Comunicarea rezultatelor
Laura are 23 de ani și este din Suceava. A terminat facultatea de jurnalism în 2022 si va urma un master.
Face parte din echipa stirilekanald.ro din martie 2022.
Este o fire ambițioasă, creative, pasionată de frumos, sensibilă, dar și puternică.
”Sunt recunoscătoare pentru tot ceea ce am zi de zi. Am ajuns aici datorită faptului ca îmi place să scriu”