Subiecte simulare BAC 2021 Biologie şi Anatomie

Săptămâna aceasta este una intensă pentru elevii din România. Toți vor susține simularea pentru examenul de Bacalaureat 2021 care va avea loc, oficial, în vară.

Elevii români susțin simulările pentru examenul de bacalaureat 2021. Probele de la simularea pentru examenul de Bacalaureat 2021 se dau în perioada 22-25 martie. Bacalaureatul va avea loc în a doua jumătate a lunii iunie.

Citeste si: Toate unităţile de învăţământ din orașul Giurgiu trec în mediul online

Anul acesta simulările se țin în condiții speciale, din cauza pandemiei generată de virusul Sars-Cov-2.

Simulările reprezintă o provocare şi pentru autorităţi, astfel încât acestea să fie cât mai pregătite pentru ca examenul de Bacalaureat, din vară să aibă loc în condiții maxime de siguranță, din punct de vedere sanitar.

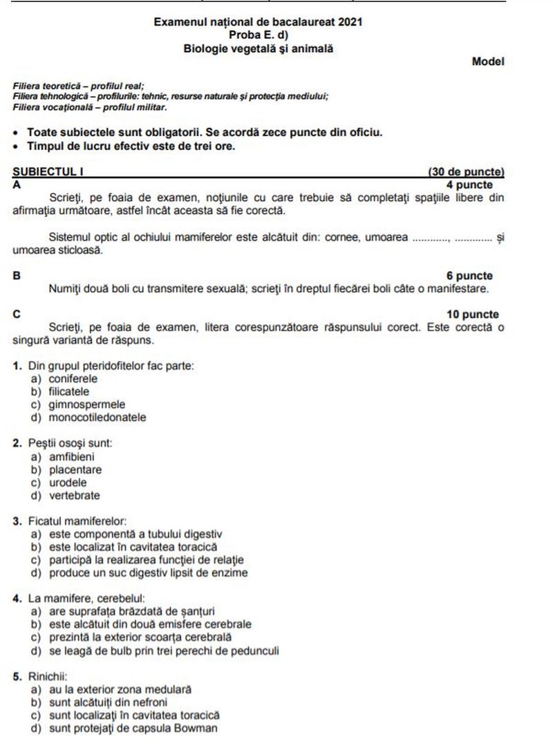
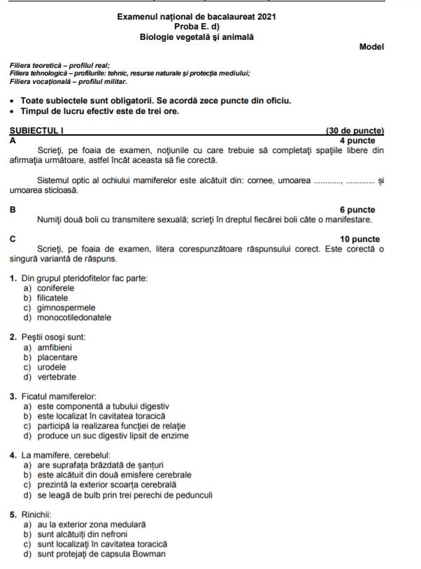
Exemplu simulare BAC 2021 Biologie şi Anatomie

Luni s-a dat startul simulărilor de bacalaureat. Elevii au susţinut proba scrisă la Limba şi literatura română. În total se dau patru probe în această săptămână.

Citeste si: Simulare Evaluarea Națională 2021. Calendarul complet al probelor pentru clasa a VIII-a

Astăzi, elevii au proba obligatorie a profilului. Simularea examenului național de Bacalaureat 2021 pentru elevii claselor a XII-a și a XIII-a

22 martie 2021: Limba şi literatura română- proba E.a)
23 martie 2021: proba obligatorie a profilului- proba E.c)
24 martie 2021: proba la alegere a profilului şi specializării- proba E.d)


25 martie 2021: Limba şi literatura maternă- proba E.b).

Citeste si: Simulare BAC 2021. Încep examenele de simulare pentru clasa a 11-a și a 12-a

A. Simularea Evaluării Naţionale pentru elevii clasei a VIII-a

29 martie 2021: Limba şi literatura română
30 martie 2021: Matematică
31 martie 2021: Limba şi literatura maternă (pentru elevii aparţinând minorităţilor naţionale care au urmat cursurile gimnaziale în limba maternă).

Iată câteva modele de subiecte pentru examenul de Bacalaureat 2021.

Citeste si: Subiecte simulare BAC 2021, proba la matematică. Barem de corectare conform edu.ro. Cum se rezolvau exercițiile și problemele?

 

 

Citeste si: Subiecte simulare BAC 2021 Matematică pentru clasa a 11-a şi a 12-a

 

 


Editor web

„Sunt aici ca să-ți transmit informația în timp real” - Relatează adevărul și duce mai departe tehnicile învățate în cadrul Facultății de Jurnalism și Științele Comunicării, Universitatea din București. Cu trei ani de licență și doi ani de master, plus experiența acumulată în presă, se declară o adevărată jurnalistă.

„Asta mi-am dorit să fac dintotdeauna. Sunt o persoană cu bun simț, iubesc ceea ce fac, iubesc oamenii, animalele, natura și lucrurile frumoase. Ca un jurnalist adevărat, citesc și sunt preocupat de dezvoltarea personală. Sunt aici pentru mine, pentru tine, pentru voi, pentru a face ca lucrurile să funcționeze cum trebuie în țara noastră"

Georgiana Balaban ocupă funcția de traffic manager.

Îți Recomandăm Și...
Parteneri