Subiecte simulare BAC 2021 Matematică pentru clasa a 11-a şi a 12-a

Azi, 22 martie 2021, este zi mare pentru elevi. S-a dat startul simulărilor examenului de bacalaureat. Mâine, 23 martie, elevii claselor a XII-a și a XIII-a vor susţine proba obligatorie a profilului, adică istorie sau matematică.

Subiecte simulare BAC 2021 Istorie. FOTO

Vezi mai jos care au fost subiectele care au căzut azi la simularea de BAC 2021- Istorie, urmează să fie publicat și baremul de corectare:

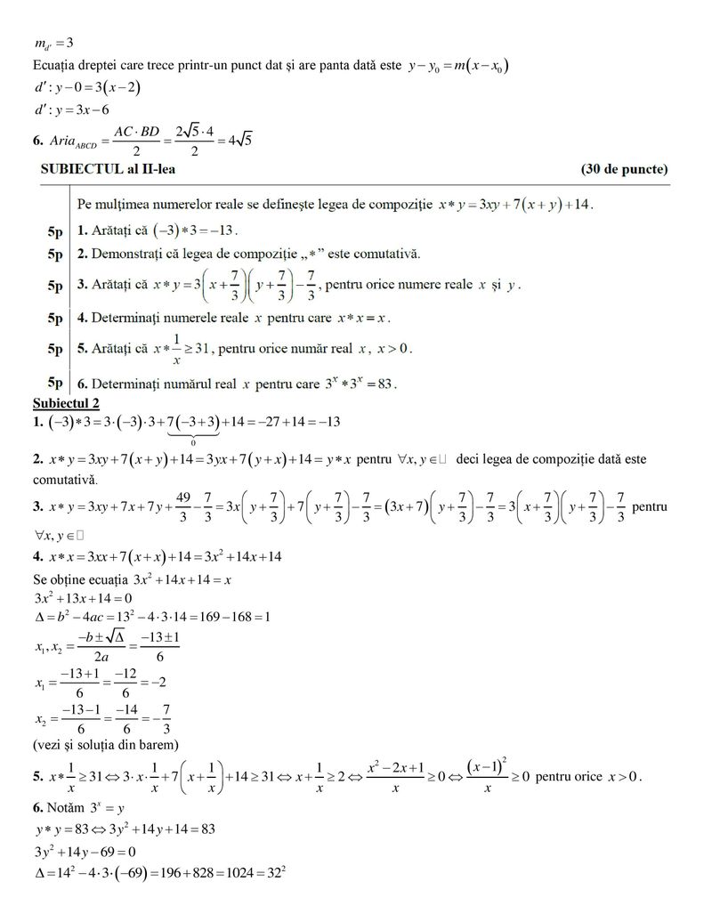
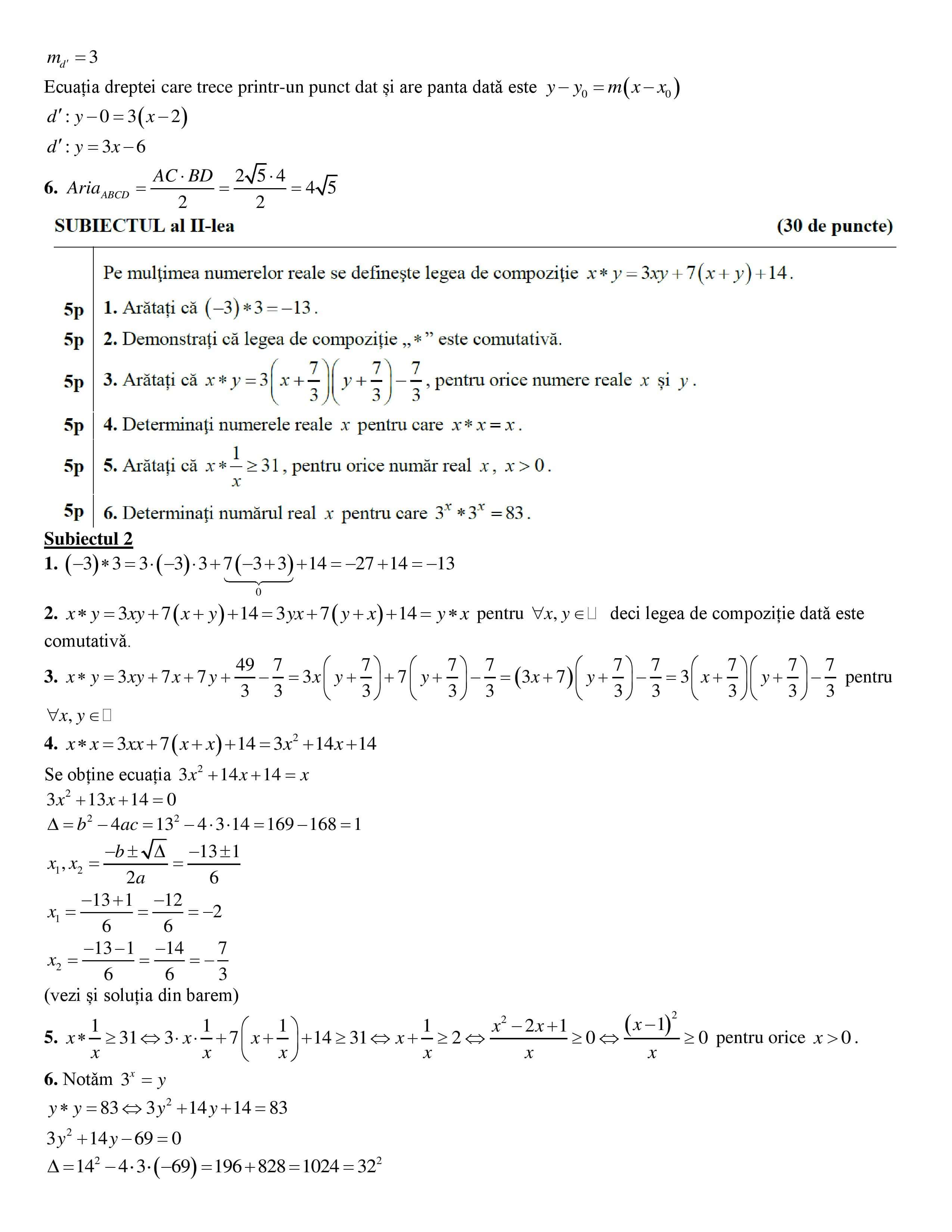
Subiecte simulare BAC 2021 Matematică. FOTO

Vezi mai jos care au fost subiectele care au căzut azi la simularea de BAC 2021- Istorie, urmează să fie publicat și baremul de corectare:

 

 

Elevii din România au început simulările de astăzi. Luni, elevii au susținut simularea la limba și literatură română. Iată calendarul simulărilor BACALAUREATULUI 2021 (pentru clasele a XI-a și a XII-a)
22 martie 2021 – Limba și literatura română
23 martie 2021 – Examenul obligatoriu al profilului: Matematică sau Istorie
24 martie 2021 – Proba la alegere a profilului și specializării
25 martie 2021 – Limba și literatura maternă
31

martie 2021 – Afișarea rezultatelor.

Citeste si: Repartizarea copiilor în clasele pregătitoare 2021. Cum vor fi distribuiți elevii din clasa 0

Iată câteva exemple de subiecte simulare BAC 2021 Matematică pentru clasa a 11-a şi a 12-a.

Elevii sunt așezați unul câte unul în bănci, toți fiind colegi de clasă. Ei sunt puși în ordine alfabetică.

Candidații rezolvă subiectele numai cu cerneală sau pastă de culoare albastră, iar pentru executarea schemelor și a desenelor, pot utiliza numai creion negru. Pentru probele scrise la Matematică și Geografie, candidații pot apela doar la instrumente de desen. La probele scrise, mijloacele/instrumentele de calcul sunt interzise, iar hârtia folosită este doar cea distribuită în sala de examen.

Citeste si: Subiecte Matematică simulare Evaluarea Naţională 2021

Anunț pentru toți elevi care susțin simulări

Toți candidații care vor susține simulări trebuie să știe că este interzis să vină în sălile de examen cu obiecte, precum ghiozdane, rucsacuri, sacoșe, poșete etc. De asemenea, este interzis accesul în săli cu orice fel de lucrări: manuale, dicționare, notițe, însemnări etc., precum și cu orice mijloc electronic de calcul, de stocare de informații sau de comunicare (stick-uri de memorie, telefoane, tablete etc.).

Citeste si: Simulare BAC 2021. Avem calendarul examenelor pentru clasa a 11-a şi a 12-a

Elevii nu vor avea voie să vorbească între ei, sau cu alte persoane din exterior, să transmită ori să schimbe între ei foi din lucrare, ciorne, notițe sau alte materiale care ar putea fi utilizate pentru rezolvarea subiectelor, pentru comunicare în interior sau cu exteriorul.

Cei surprinși în aceste situații pot fi eliminați din simulare.

De reținut că Simulările la Evaluarea Națională și Bacalaureat 2021 vor putea fi reprogramate în localitățile aflate în carantină până la încetarea măsurii, conform unui calendar aprobat de inspectoratele școlare, dar nu mai târziu de 15 mai. Anunțul a fost făcut, vineri, de către ministrul Educației, Sorin Cîmpeanu.

Citeste si: Simularea examenului de Bacalaureat a fost amânată pentru acești elevi. Unde s-a luat decizia?

„Astfel, elevii înmatriculati în unitățile de învățământ din localitățile în care incidenţa cumulată în ultimele 14 zile a depășit nivelul de 6/1.000 de locuitori vor putea susține simulări ale examenelor naționale, cu prezență fizică, după încetarea măsurilor de carantinare, conform unui calendar aprobat de inspectoratele școlare, dar nu mai târziu de 15 mai 2021. În această situație, subiectele vor fi elaborate la nivelul inspectoratelor școlare”, a anunțat ministrul Educației.


Editor web

„Sunt aici ca să-ți transmit informația în timp real” - Relatează adevărul și duce mai departe tehnicile învățate în cadrul Facultății de Jurnalism și Științele Comunicării, Universitatea din București. Cu trei ani de licență și doi ani de master, plus experiența acumulată în presă, se declară o adevărată jurnalistă.

„Asta mi-am dorit să fac dintotdeauna. Sunt o persoană cu bun simț, iubesc ceea ce fac, iubesc oamenii, animalele, natura și lucrurile frumoase. Ca un jurnalist adevărat, citesc și sunt preocupat de dezvoltarea personală. Sunt aici pentru mine, pentru tine, pentru voi, pentru a face ca lucrurile să funcționeze cum trebuie în țara noastră"

Georgiana Balaban ocupă funcția de traffic manager.

Îți Recomandăm Și...
Parteneri