1 din 11 | Barem Matematică Simulare Evaluare Națională 2023. Răspunsurile corecte pentru examenul la Matematică!
2 din 11 | Barem Matematică Simulare Evaluare Națională 2023. Răspunsurile corecte pentru examenul la Matematică!
3 din 11 | Barem Matematică Simulare Evaluare Națională 2023. Răspunsurile corecte pentru examenul la Matematică!
4 din 11 | Barem Matematică Simulare Evaluare Națională 2023. Răspunsurile corecte pentru examenul la Matematică!
5 din 11 | Barem Matematică Simulare Evaluare Națională 2023. Răspunsurile corecte pentru examenul la Matematică!
6 din 11 | Barem Matematică Simulare Evaluare Națională 2023. Răspunsurile corecte pentru examenul la Matematică!
7 din 11 | Barem Matematică Simulare Evaluare Națională 2023. Răspunsurile corecte pentru examenul la Matematică!
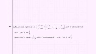
8 din 11 | Barem Matematică Simulare Evaluare Națională 2023. Răspunsurile corecte pentru examenul la Matematică!
9 din 11 | Barem Matematică Simulare Evaluare Națională 2023. Răspunsurile corecte pentru examenul la Matematică!
10 din 11 | Barem Matematică Simulare Evaluare Națională 2023. Răspunsurile corecte pentru examenul la Matematică!
11 din 11 | Barem Matematică Simulare Evaluare Națională 2023. Răspunsurile corecte pentru examenul la Matematică!
Barem Matematică Simulare Evaluare Națională 2023. Elevii claselor a VIII-a au susținut astăzi proba la Matematică din cadrul simulării pentru Evaluarea Națională 2023. Iată baremul de corectare și de notare!
Barem Matematică Simulare Evaluare Națională 2023. A doua probă a simulării Evaluării Naționale s-a încheiat. Candidații au avut la dispoziție două ore pentru rezolvarea subiectelor primite la examen.
Iată baremul de corectare și notare, publicat pe subiecte.edu.ro!
Barem Matematică Simulare Evaluare Națională 2023. Răspunsurile corecte!
Subiectele au câte 30 de puncte. La primele două subiecte răspunsurile erau de tip grilă, unde un singur răspuns era corect. Subiectul al III-lea a venit pentru elevi cu rezolvarea unor probleme de algebră și geometrie.
După terminarea probei scrise, candidații au spus că subiectul al III-lea a fost cel mai dificil, mai exact punctul 6. Baremul de corectare și notare va fi disponibil astăzi în jurul orei 15:00 pe site-ul Ministerului Educației și Cercetării subiecte.edu.ro.
Broșura are trei subiecte, fiecare subiect are 30 de puncte și conține mai multe cerințe pe care candidații au avut obligația de a le rezolva. Se acordă 10 puncte din oficiu.
Citește și: Simulare Matematică Evaluare Națională 2023. Ce a picat la subiectele I, II și III?
Primele două subiecte, de câte 30 de puncte fiecare, au avut itemi obiectivi, de tip grilă, cu un singur răspuns corect.
Subiectul al III-lea a fost cu probleme de algebră și geometrie.
Barem Matematică Simulare Evaluare Națională 2023. Ce subiecte au avut elevii de rezolvat?
Iată subiectele care au picat la simularea de la Matematică pentru Evaluarea Națională 2023!
Subiectul I
Încercuiește litera corespunzătoare răspunsului corect. – 30 de puncte, câte 5 puncte pentru fiecare item de mai jos
1. Numărul natural scris în baza zece, de forma 17x, divizibil cu 10, este egal cu:
- a) 17
- b) 70
- c) 100
- d) 170
2. Numărul care reprezintă 20% din 50 este egal cu:
- a) 10
- b) 20
- c) 25
- d) 100
3.
- a) −9
- b) −3
- c) 3
- d) 6
4. Inversul numărului 2/3 este numărul:
- a) -3/2
- b) −2/3
- c) 2/3
- d) 3/2
5.
Patru elevi, Elena, Maria, George și Mihai, au calculat media geometrică a numerelor y= 3 -2√2 și y= 3+2√2 și au obținut următoarele rezultate:Elena √17
Maria √2
George 1
Mihai 3
Dintre cei patru elevi, cel care a calculat corect media geometrică este:
- a) Elena
- b) Maria
- c) George
- d) Mihai
6. Afirmația „Numărul 4 este mai mare decât numărul 2 5 .” este:
a) adevărată
b) falsă
Citește și: Edu.ro Simulare Matematică Evaluare Națională 2023. Examenul a început! Subiectele și rezolvările!
Subiectul al II-lea – 30 de puncte, câte 5 puncte pentru fiecare item
1. În figura alăturată este reprezentat segmentul AB cu lungimea de 5 cm. Punctul C este simetricul punctului B față de punctul A, iar punctul D este simetricul punctului C față de punctul B. Lungimea segmentului CD este egală cu:
a) 5cm
b) 10cm
c) 15cm
d) 20cm
Calendar Simulare Evaluare Națională 2023
Citește și: Subiecte simulare Matematică Evaluarea Națională 2023. Ce subiecte au picat?
- 20 martie 2023: Limba şi literatura română – probă scrisă
- 21 martie 2023: Matematică – probă scrisă
- 22 martie 2023: Limba şi literatura maternă – probă scrisă
- 29 martie 2023: Comunicarea rezultatelor
Citește și: Simulare Matematică Evaluare Națională 2023. La ce oră va fi publicat baremul? Anunț important pentru elevi!
Este absolventă a Facultății de Jurnalism și Științele Comunicării din cadrul Universității București, specializarea Jurnalism și a urmat cursurile unui masterat în Resurse Umane.
A fost atrasă din timpul liceului de domeniul jurnalistic, motiv pentru care încă de pe băncile facultății a trecut prin redacțiile unor publicații și posturi de televiziune.
Și-a început cariera în presă în anul 2021 ca redactor pentru site-ul stirilekanald.ro, unde se află și astăzi și unde pune în practică pasiunea pentru jurnalism.