1 din 9 | Subiecte simulare BAC 2021 Matematică şi Istorie. Barem de corectare pe EDU.ro
2 din 9 | Subiecte simulare BAC 2021 Matematică şi Istorie FOTO. Barem de corectare pe EDU.ro
3 din 9 | Subiecte simulare BAC 2021 Matematică şi Istorie FOTO. Barem de corectare pe EDU.ro
4 din 9 | Subiecte simulare BAC 2021 Matematică şi Istorie FOTO. Barem de corectare pe EDU.ro
5 din 9 | Subiecte simulare BAC 2021 Matematică şi Istorie FOTO. Barem de corectare pe EDU.ro
6 din 9 | Subiecte simulare BAC 2021 Matematică şi Istorie FOTO. Barem de corectare pe EDU.ro
7 din 9 | Subiecte simulare BAC 2021 Matematică şi Istorie FOTO. Barem de corectare pe EDU.ro
8 din 9 | Subiecte simulare BAC 2021 Matematică şi Istorie FOTO. Barem de corectare pe EDU.ro
9 din 9 | Subiecte simulare BAC 2021 Matematică şi Istorie FOTO. Barem de corectare pe EDU.ro
Subiecte simulare BAC 2021 Matematică şi Istorie. Emoții pentru elevii de clasele a XI-a și a XII-a în fața unuia dintre cele mai importante momente înainte de examenul efectiv de Bacalaureat - simularea de BAC 2021. Baremul de corectare la Matematică și Istorie va fi publicat pe EDU.ro în jurul orei 15.00, la fel ca și la proba de Limba și Literatura Română.
Subiecte simulare BAC 2021 Matematică şi Istorie. Barem de corectare pe EDU.ro
Subiecte simulare BAC 2021 Matematică şi Istorie. Barem de corectare pe EDU.ro. Simularea examenului naţional de Bacalaureat pentru elevii claselor a XI-a şi a XII-a a început luni cu proba la Limba şi literatura română- proba E.a), care va fi urmată, marţi, de simularea probei obligatorii a profilului- proba E.c).
Subiecte simulare BAC 2021 Matematică şi Istorie. Barem de corectare pe EDU.ro. Astfel, mâine, 23 martie, elevii claselor a XII-a și a XIII-a vor susţine proba obligatorie a profilului, adică Istorie sau Matematică. ȘtirileKanalD.ro publică în timp real subiectele primite de elevi la cele două discipline, precum și baremul de corectare de la EDU.ro.
Citeste si: Subiecte simulare BAC 2021 Matematică pentru clasa a 11-a şi a 12-a
Subiecte simulare BAC 2021 Istorie. FOTO
Vezi mai jos care au fost subiectele care au căzut azi la simularea de BAC 2021- Istorie, urmează să fie publicat și baremul de corectare:
Subiecte simulare BAC 2021 Matematică. FOTO
Vezi mai jos care au fost subiectele care au căzut azi la simularea de BAC 2021- Istorie, urmează să fie publicat și baremul de corectare:
Subiecte simulare BAC 2021 Matematică. Barem de corectare pe EDU.ro
Modelele de subiecte la Matematică și Istorie au fost publicate de EDU.ro și pot fi văzute aici.
Iată câteva exemple de subiecte simulare BAC 2021 Matematică pentru clasa a 11-a şi a 12-a.
Pentru probele scrise la Matematică și Geografie, candidații pot apela doar la instrumente de desen. La probele scrise, mijloacele/instrumentele de calcul sunt interzise, iar hârtia folosită este doar cea distribuită în sala de examen.
Citeste si: Subiecte simulare BAC 2021 Istorie pentru clasa a 11-a şi a 12-a
Citeste si: Subiecte simulare BAC 2021 Română pentru clasa a 11-a şi a 12-a. Barem de corectare- EDU.ro
Subiecte simulare BAC 2021- Istorie. Baremul de corectare pe Edu.ro
Subiectele la Istorie simulare BAC 2021, vor fi făcute publice după începerea examenului, iar Baremul de corectare va fi disponibil după ora prânzului.
Simularea bacalaureatului 2021 va începe la ora 09.00 când elevii vor primi subiectele la istorie. Elevii de clasa a XI-a și a XII-a s-au putut pregăti pentru simulare rezolvând subiecte la istorie pentru BAC 2021 din testele de antrenament publicate de Ministerul Educației.
Citeste si: Ministerul Educaţiei: încă 211 elevi şi preşcolari au fost infectați cu COVID-19
Model de subiecte la Istorie- Simulare Bacalaureat 2021
Examenul național de bacalaureat 2021
Proba E. c) Istorie
Model
Filiera teoretică, profil umanist, toate specializările; Filiera vocaţională- profil artistic, toate specializările;- profil sportiv, toate specializările;- profil pedagogic, specializările: bibliotecar-documentarist, instructor-animator, instructor pentru activităţi extraşcolare, pedagog şcolar;- profil teologic, toate specializările.
• Toate subiectele sunt obligatorii. Se acordă zece puncte din oficiu.
• Timpul de lucru efectiv este de trei ore.
SUBIECTUL I (30 de puncte)
Citiţi, cu atenţie, sursele de mai jos:
A. „Relațiile politice dintre Imperiul Otoman, pe de o parte, și Moldova și Țara Românească, pe de altă parte, își găsesc începuturile în ultimul deceniu al secolului al XIV-lea. Nici nu apucaseră bine Principatele să se formeze[...] că existența lor a și fost primejduită de puterea militară otomană în ascensiune la sud de Dunăre. Oștile otomane înfrânseseră nobilimea feudală sârbă în bătălia de la Kossovopolje (Câmpia Mierlei) din 1389 și au desăvârșit ocuparea Bulgariei[...] în 1393.[...]
Primele contacte politice între Țara Românească și otomani nu pot fi datate cu precizie.[...] O plată a unui tribut a fost efectuată în 1417 din cauza unei expediții militare în Țara Românească a sultanului Mahomed I[...]. Aceste plăți nu par să fi redus Țara Românească la statutul de vasal. Mai curând, așa cum pretindea Mircea cel Bătrân (1386-1418), ele reprezentau înțelegeri între egali, întrucât, în schimbul tributului, sultanul accepta să împiedice oștile otomane să treacă Dunărea în incursiuni de jaf și pentru luarea de robi. Cu toate acestea, Țara Românească avea să fie de aici înainte supusă unor presiuni otomane neîncetate.[...] În 1462, Mahomed al II-lea[...] îl îndepărtează pe domnitorul Vlad Țepeș[...] de la tron[...] și îl instalează în locul acestuia pe Radu cel Frumos [...].” (K. Hitchins, Românii, 1774-1866)
B. „Supunerea Moldovei față de Imperiul Otoman a urmat același tipic, însă a survenit mai târziu, în parte cel puțin datorită distanței mai mari care o despărțea de centrele otomane de putere. Prima mare încleștare între oștile moldovene și otomane a avut loc în 1420, când flota turcă întreprinde un atac nereușit asupra Cetății Albe (Akkerman), port aflat sub stăpânirea Moldovei.
Ulterior, domnii Moldovei au stabilit în general relații pașnice cu sultanul prin plata unor sume de bani. Turcii se refereau la acestea ca daruri[...] și se pare că nu au compromis independența acestui principat. Moldova a început să plătească tribut în 1456 ca răspuns la un ultimatum dat de Mahomed al II-lea domnitorului Petru Aron[...]. Cu toate acestea conducătorii Moldovei, în special Ștefan cel Mare (1457-1504), au evitat vasalitatea prin alternarea negocierilor cu rezistența armată. Totuși, pe vremea urmașilor lui Ștefan cel Mare, situația Moldovei a devenit din ce în ce mai nesigură. Independența a luat sfârșit în 1538, când sultanul Soliman I[...] l-a îndepărtat de la domnie pe Petru Rareș [...].” (K. Hitchins, Românii, 1774-1866)
Pornind de la aceste surse, răspundeţi la următoarele cerinţe:
1. Numiţi bătălia precizată în sursa A. 2 puncte
2. Precizaţi, din sursa B, o informație referitoare la Cetatea Albă. 2 puncte
3. Menţionaţi câte un domnitor din spațiul românesc la care se referă sursa A, respectiv sursa B. 6 puncte
4. Scrieţi, pe foaia de examen, litera corespunzătoare sursei care susţine că statul medieval românesc a început să plătească tribut din a doua jumătate a secolului al XV-lea. 3 puncte
5. Scrieţi o relaţie cauză-efect stabilită între două informaţii selectate din sursa A, precizând rolul fiecăreia dintre aceste informaţii (cauză, respectiv efect). 7 puncte
6. Prezentaţi alte două acțiuni militare la care participă românii în secolele al XIV-lea – al XV-lea, în afara celor la care se referă sursele A și B. 6 puncte
7. Menţionaţi o caracteristică a unei instituții centrale din spațiul românesc, la sfârșitul secolului al XVI-lea – începutul secolului al XVII-lea. 4 puncte
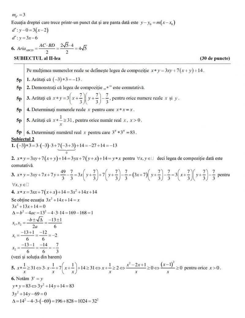
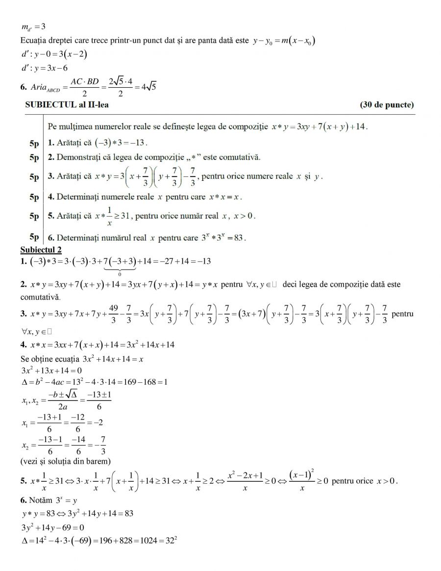
SUBIECTUL al II-lea (30 de puncte)
Citiţi, cu atenţie, sursa de mai jos:
„În 1921, România, Cehoslovacia şi Iugoslavia au creat Mica Înțelegere, o alianță defensivă şi antirevizionistă[...]; tot în 1921, statul român a încheiat o convenție de alianță cu Polonia, înlocuită în 1926 cu un tratat de garanție; în 1926, România a semnat un tratat de alianță cu Franța şi un tratat de amiciție şi colaborare cu Italia[...]. În 1928, Bucureștiul a aderat la pactul Briand-Kellogg, care interzicea războiul ca mijloc de rezolvare a conflictelor, apoi la protocolul de la Moscova (1929), prin care statele est-europene și Uniunea Sovietică își asumau obligații similare[...].
Din 1930, au început să aibă loc conferințe anuale balcanice, încheiate peste patru ani cu semnarea, la Atena, a pactului Înțelegerii Balcanice, prin care România, Grecia, Iugoslavia şi Turcia își garantau reciproc frontierele. Diplomații români, N. Titulescu, îndeosebi, au avut o activitate deosebită şi în cadrul Ligii Națiunilor[...]. Urmând exemplul Franței, Bucureștiul a reluat în 1934 relațiile diplomatice cu Moscova, pregătindu-se chiar, în 1935-1936, să semneze un pact[...] româno-sovietic, care ar fi garantat independența şi integritatea teritorială a țării, în granițele trasate la 1918.
Evoluția evenimentelor internaționale, creșterea rolului Germaniei, inactivitatea şi lipsa de fermitate a democrațiilor occidentale l-au forțat pe regele Carol al II-lea[...] să înceapă în 1936 o oarecare reorientare a politicii externe pentru a evita izolarea diplomatică a țării. N. Titulescu, prea identificat cu politica franceză și cu Liga Națiunilor, a fost înlăturat de la conducerea Ministerului de Externe (1936), iar planul alianței cu Uniunea Sovietică a fost abandonat.” (V. Georgescu, Istoria românilor)
Pornind de la această sursă, răspundeţi la următoarele cerinţe:
1. Numiţi alianța defensivă creată în 1921, precizată în sursa dată. 2 puncte
2. Precizaţi secolul la care se referă sursa dată. 2 puncte
3. Menţionaţi regele României și acțiunea desfășurată de statul român în 1928, la care se referă sursa dată. 6 puncte
4. Menţionaţi, din sursa dată, două informaţii referitoare la acțiunile de politică externă la care participă România în 1926. 6 puncte
5. Formulaţi, pe baza sursei date, un punct de vedere referitor la politica externă a României în perioada 1929-1936, susţinându-l cu două informaţii selectate din sursă. 10 puncte
6. Argumentaţi, printr-un fapt istoric relevant, afirmaţia conform căreia România participă la relațiile internaționale din a doua jumătate a secolului al XIX-lea. (Se punctează prezentarea unui fapt istoric relevant și utilizarea conectorilor care exprimă cauzalitatea şi concluzia.) 4 puncte
SUBIECTUL al III-lea (30 de puncte)
Elaboraţi, în aproximativ două pagini, un eseu despre România postbelică, având în vedere:
- menționarea a doi factori care au contribuit la instaurarea totalitarismului în România postbelică;
- precizarea unei constituții a României adoptate în etapa stalinismului și menționarea a două caracteristici ale acesteia;
- prezentarea unui fapt istoric desfășurat de România în relațiile internaționale din perioada stalinismului;
- formularea unui punct de vedere referitor la național-comunismul din România şi susţinerea acestuia printr-un argument istoric.
Notă! Se punctează şi utilizarea limbajului istoric adecvat, structurarea prezentării, evidenţierea relaţiei cauză-efect, elaborarea argumentului istoric (prezentarea unui fapt istoric relevant și utilizarea conectorilor care exprimă cauzalitatea şi concluzia), respectarea succesiunii cronologice/logice a faptelor istorice şi încadrarea eseului în limita de spaţiu precizată.
Citeste si: BAREM simulare BAC 2021 Română pentru clasa a 11-a şi a 12-a EDU.ro: Subiecte şi rezolvările corecte!
Simulare BAC 2021. Ce fac elevii din localităţile în carantină
Elevii înmatriculaţi în unităţile de învăţământ din localităţile în care incidenţa cumulată în ultimele 14 zile a depăşit nivelul de 6/1.000 de locuitori vor putea susţine simulări ale examenelor naţionale, cu prezenţă fizică, după încetarea măsurilor de carantinare, conform unui calendar aprobat de inspectoratele şcolare, dar nu mai târziu de 15 mai 2021, a anunţat, vineri, ministrul Educaţiei, Sorin Cîmpeanu.
Citeste si: Simulare Bacalaureat 2021. Schimbare de ultimă oră anunțată de ministrul Educației
Subiecte Română simulare BAC 2021 . "Având în vedere recentele evoluţii epidemiologice, pentru a asigura pregătirea nediscriminatorie în vederea susţinerii examenelor naţionale, determinante pentru viitorul tinerilor, Ministerul Educaţiei completează Ordinul 3449/2021 privind organizarea simulării evaluării naţionale pentru absolvenţii clasei a VIII-a şi a simulării probelor scrise ale examenului naţional de bacalaureat, în anul şcolar 2020-2021", a declarat ministrul.
Astfel, elevii înmatriculaţi în unităţile de învăţământ din localităţile în care incidenţa cumulată în ultimele 14 zile a depăşit nivelul de 6/1.000 de locuitori vor putea susţine simulări ale examenelor naţionale, cu prezenţă fizică, după încetarea măsurilor de carantinare, conform unui calendar aprobat de inspectoratele şcolare, dar nu mai târziu de 15 mai 2021. În această situaţie, subiectele vor fi elaborate la nivelul inspectoratelor şcolare.
Citeste si: Subiecte EDU.ro Simulare 2021: Română profil uman şi Real pentru BAC 2021
Potrivit acestuia, pentru asigurarea protecţiei sanitare, unităţile de învăţământ vor putea decide, în funcţie de infrastructură, ca în zilele în care se organizează simulări ale examenelor naţionale activitatea celorlalte clase să se desfăşoare online, indiferent de scenariul de organizare şi desfăşurare a cursurilor valabil în zilele respective.
Are o experiență de peste 20 de ani în presa scrisă, online și TV, cu specializare în domeniile economic, politic și relații internaționale.
A ocupat de-a lungul timpului poziții de redactor, editor sau editor coordonator în instituții media precum Revista 22, Cariere, Business Standard, Realitatea TV, Gandul. Face parte din echipa stirilekanald.ro din iulie 2020.
Absolvent de Filosofie și Jurnalism, cu masterat în Știintele comunicării, a dezvoltat o pasiune pentru domeniul resurselor umane. Colaborează de 12 ani cu HR Club pentru realizarea Manualului de bune practici în Managementul resurselor umane. În ultimii ani a derulat mai multe proiecte de ghost-writing, cu cărți publicate la edituri de prestigiu din România.